Wenn im Mathe-Abitur die Integralrechnung drankommt, geht bei vielen sofort der Puls hoch: Stammfunktionen, Grenzen, Flächen… Die gute Nachricht: Das bestimmte Integral ist logisch – und extrem nützlich, wenn du einmal verstanden hast, was es wirklich bedeutet. In diesem Beitrag bekommst du einen klaren Überblick über:
- das bestimmte Integral
- die Integralfunktion
- typische Anwendungen
Was ist ein bestimmtes Integral?
Das bestimmte Integral beschreibt – vereinfacht gesagt – die Fläche unter dem Graphen einer Funktion zwischen zwei festen x-Werten. Es liefert also einen festen Zahlenwert, der mithilfe einer Stammfunktion berechnet werden kann.
Schreibweise:

- x1 ist die untere Grenze, x2 die untere Grenze (Start und Ende).
- f(x) ist die zu integrierende Funktion.
- dx gibt die Variable an, nach der integriert wird.
Der wichtigste Gedanke: Das Integral berechnet die Flächenbilanz:
- Flächen oberhalb der x‑Achse zählen positiv.
- Flächen unterhalb der x‑Achse zählen negativ.
Tipp: Das folgende Video aus einem unserer Webinare zur Abi-Vorbereitung gibt dir einen guten Überblick über die Integralrechnung.
Von der Stammfunktion zum bestimmten Integral
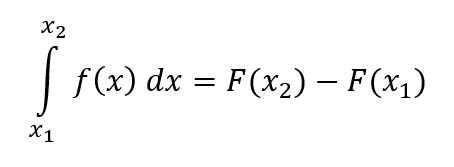
Den Wert eines bestimmten Integrals erhält man, indem man den Wert einer Stammfunktion an der oberen Grenze berechnet und davon den Wert der Stammfunktion an der unteren Grenze abzieht.
Wenn F(x) eine Stammfunktion von f(x) ist (also F'(x)=f(x)), dann gilt:

Vorgehensweise im Abi (Standard-Rezept):
1. Stammfunktion bilden: f(x) → F(x)
2. Grenzen einsetzen: F(x2) − F(x1)
3. Sauber rechnen, Ergebnis interpretieren (Fläche? Einheit?)
Integralrechnung und weitere Abi-Themen üben
Die Integralfunktion
Die Integralfunktion (auch „Flächenfunktion“) wird oft so definiert:

Hier ist die obere Grenze keine feste Zahl mehr, sondern eine Variable. Das bedeutet: Die Integralfunktion beschreibt die Flächenbilanz unter dem Graphen von f von der festen unteren Grenze x1 bis zur variablen oberen Grenze x.
Anwendungen im Abitur: Dafür brauchst du Integrale wirklich
Dem Integralwert können geometrische Bedeutungen zugeordnet werden. Beispiele dafür sind Flächeninhalte, Bogenlänge und Rotationsvolumen. Dafür existieren Formeln, die in der Formelsammlung/im Tafelwerk stehen.
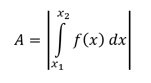
1. Flächenberechnungen zwischen Graph und Abszisse (x-Achse)
Fall 1: Der Graph schneidet die Abszisse nicht

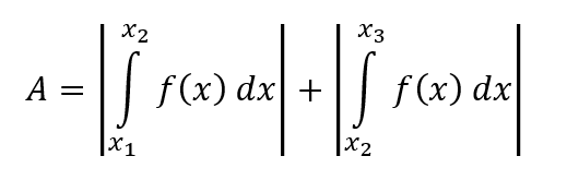
Fall 2: Der Graph schneidet die Abszisse
Wenn du feststellst, dass der Graph die Abszisse schneidet, gehst du folgendermaßen vor:
1. Nullstellen bestimmen
2. Intervall zerlegen
3. Teilflächen berechnen und addieren

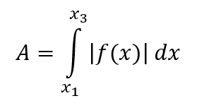
Alternativ kannst du den Betragsbefehl des Taschenrechners nutzen:

2. Flächenberechnungen zwischen zwei Graphen
Wenn du die Fläche zwischen zwei Graphen berechnen sollst, gehst du folgendermaßen vor:
1. Bilde die Differenzfunktion: d(x) = g(x) - h(x)
2. Integriere:

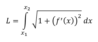
3. Berechnung der Bogenlänge
Die Berechnung der Bogenlänge begegnet dir in einigen Bundesländern im Mathe-Leistungskurs. Mit der Bogenlänge bestimmst du die Länge eines bestimmten Kurvenstücks einer Funktion. So sieht die Formel zur Berechnung der Bogenlänge aus:

Aus den ersten Blick wirkt die Formel vielleicht sehr kompliziert – meistens ist die Berechnung der Bogenlänge aber ein „Einsetzen und Rechnen“-Thema.
4. Volumen von Rotationskörpern berechnen
Wenn ein Graph in einem Intervall um die x-Achse rotiert, entsteht ein Rotationskörper. Die Volumenberechnung eines solchen Rotationskörpers ist für den Mathe-Leistungskurs einiger Bundesländer relevant.
Für das Volumen gilt:

Interpretation (Scheibenmethode):
- f(x) ist der Radius der Scheibe.
- π·r² ist die Kreisfläche.
- Das Integral summiert viele dünne Scheiben auf.
Zusammenfassung: Die Integralrechnung im Mathe-Abitur
Die Integralrechnung ist ein wichtiges Thema im Mathe-Abitur. Aufgaben dazu können dir sowohl im hilfsmittelfreien A-Teil als auch im B-Teil begegnen. Für das Mathe-Abi solltest du wissen:
- was das bestimmte Integral beschreibt,
- wie du es mit einer Stammfunktion berechnest,
- welche Anwendungen es gibt.
Beachte bei der Berechnung von Flächeninhalten, dass das Ergebnis immer positiv sein muss. Bei Funktionen, die mehrere Schnittpunkte mit der Abszisse haben, musst du mehrere Flächeninhalte berechnen und addieren.
